Method estimates solubility of petrochemicals in water
New data for an existing equation allow accurate estimates of the solubilities of many petrochemicals in water.
Correlation results for estimating water solubility are presented for a wide variety of petrochemicals: acetates, acids, alcohols, aldehydes, amines, butanoates, ethers, formates, ketones, monobromo alkanes, monochloro alkanes, and propanoates.
The new correlation provides reliable solubility values down to very low concentrationsin the parts-per-million rangeof petrochemicals in water. Correlation values and experimental data are in favorable agreement.
The results are useful in process engineering for waste water minimization.
Importance of water solubility
It is important to understand the solubility of compounds in water. This importance will increase in the future due to heath, safety, and environmental considerations. The importance of water solubility even applies at very low concentrations.
For health involving human exposure to substances in air, the threshold limit value (TLV) for sec-butanol in air is 100 ppm (vol), according to the Occupational Safety and Health Act.1 A concentration of only 0.0005 mole fraction of sec-butanol in water will provide about 236 ppm of sec-butanol in air at the air-water interface. This concentration of 236 ppm in air exceeds the TLV of 100 ppm.
For safety reasons, the lower explosive limit (LEL) for sec-butanol in air is 1.7%, according to Yaws.2 A concentration of only 0.04 mole fraction of sec-butanol in water will provide about 1.9% of sec-butanol in air at the air-water interface. This concentration of 1.9 % in air exceeds the LEL of 1.7%.
For environmental considerations, consider a spill of sec-butanol in contact with water. The water will become saturated with sec-butanol. At saturation, the solubility of sec-butanol in water is about 0.181 weight fraction or 0.0508 mole fraction, according to Yalkwosky.3
This concentration of only 0.0508 mole fraction at saturation will provide about 24,000 ppm or 2.4% of sec-butanol in air at the air-water interface. This concentration greatly exceeds both the TLV of 100 ppm and the LEL of 1.7%.
These brief examples using sec-butanol indicate that very low concentrations of a chemical in water can provide concentrations in air at the air-water interface that exceed the TLV for human exposure and the LEL for flammability.
Solubility correlation
In earlier work by Yaws and coworkers,2 water solubility for hydrocarbons was correlated as a function of the compound’s boiling point. In this article, we determined that the boiling point method was also applicable for correlating the water solubility of petrochemicals.
Equation 1 (see attached equation box) shows the correlation.
The range for boiling point temperature depends on the petrochemical family.
The accompanying table shows the coefficients (A, B, C, and D) for a wide variety of petrochemicals: acetates, acids, alcohols, aldehydes, amines, butanoates, ethers, formates, ketones, monobromo alkanes, monochloro alkanes, and propanoates.
The table also provides the boiling point range for each chemical family. The correlation is applicable for compounds having boiling points in this range. The correlation should not be used for compounds with boiling points outside the boiling point range.
We determined the coefficients from regressions of available data. In preparing the correlation, we conducted a literature search to identify data source publications.2-15
The excellent compilations by Horvath;4 5 Howard and Meylan;6 Mackay, Shiu, and Ma;7 Verschueren;8 Yalkowsky;3 and Yaws2 were used extensively for water solubility. Boiling point temperature data are from compilations of Yaws.9 10
The publications were screened and copies of appropriate data were made. These data were then keyed in to the computer to provide a database for which experimental data are available. The database also served as a basis to check the accuracy of the correlation.
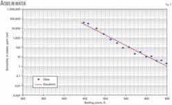
Figs. 1-3 show graphs of water solubility vs. boiling point temperature for representative chemical families. The graphs indicate favorable agreement of correlation values and experimental data.
Example
A chemical spill of dodecanol occurs into a body of water at ambient conditions. Estimate the concentration in the water at saturation.
The correlation for alcohols may be used to determine the solubility in water. Substitution of the coefficients and boiling point temperature of dodecanol into the correlation equation yields:
log10(S) = 45.6398 2.3859E-01 (535) + 4.8739E-04 (535)2 3.7160E-07 (535)3
S = 3.93 ppm (wt).
The calculated value and data compare favorably (3.93 vs. 4.00, deviation = 0.07/5 = 1.8%).
References
- OSHA, “Guide to Occupational Exposure Values1997,” American Conference of Governmental Industrial Hygienists, ACGIH, Cincinnati, 1997.
- Yaws, C.L., “Chemical Properties Handbook,” New York: McGraw-Hill Cos., 1999.
- Yalkowski, S.H., “Aquasol Database,” University of Arizona, Tucson, 1990-2004.
- Horvath, A.L., and Getzen, F.W., Journal of Phys. Chem. Ref. Data, Vol. 28 (1999), No. 3, pp. 649-777.
- Horvath, Halogenated Hydrocarbons: Solubility-Miscibility with Water, New York: Marcel Dekker Inc., 1982.
- Howard, P.H., and Meylan, W.M., eds., “Handbook of Physical Properties of Organic Chemicals,” Boca Raton, Fla.: CRC Press, 1997.
- Mackay, D., Shiu, W.-Y., and Ma, K.-C., “Illustrated Handbook of Physical-Chemical Properties and Environmental Fate for Organic Chemicals,” Vols.1-5, New York: Lewis Publishers, 1992-97.
- Verschueren, K., “Handbook of Environmental Data on Organic Chemicals,” 3rd and 4th Eds., New York: Van Nostrand Reinhold, 1996, 2001.
- Yaws, C.L., “Yaws Handbook of Physical Properties for Hydrocarbons and Chemicals,” Houston: Gulf Publishing Co., 2005.
- Yaws, C.L., “Yaws Handbook of Thermodynamic and Physical Properties of Chemical Compounds,” electronic edition, www.knovel.com, Norwich, New York: Knovel, 2003-08.
- Mackay, Shiu, and Ma, “Illustrated Handbook of Physical-Chemical Properties and Environmental Fate for Organic Chemicals,” Vol. 4, New York: Lewis Publishers, 1995.
- “Handbook of Environmental Data on Organic Chemicals,” 4th Ed., New York: John Wiley & Sons, 2001.
- Hine, J., and Mukherjee, P.K., Journal of Organic Chemistry, Vol. 40 (1975), p. 292.
- Liquid-Liquid Equilibrium Data Collection, Vol. V, Part 1, Frankfurt: Dechema Chemistry Data Series, 1979.
- Suzuki, T., Journal of Computer-Aided Molecular Design, Vol. 5 (1991), p. 149.
The author
Carl L. Yaws ([email protected]) is professor of chemical engineering at Lamar University, Beaumont, Tex. His research interests include technology development, thermodynamic and transport property data, environmental engineering, and process simulation. Yaws holds BS in chemical engineering from Texas A&I University, Kingsville, and an MS and PhD in chemical engineering from the University of Houston. He is a registered professional engineer in Texas.






