'Seabed logging': A possible direct hydrocarbon indicator for deepsea prospects using EM energy
A novel use of marine controlled source electromagnetic sounding techniques (CSEM), called seabed logging, may cut exploration costs in deepsea areas. The method has been tested off West Africa in 2000 and in the Norwegian Sea in 2001 with promising results.
Statoil has recently released information from ongoing research on electromagnetic (EM) methods for deepsea prospect exploration which shows that in certain areas it is possible to decide whether a deepsea structure, mapped by seismic, has high resistivity or not.1 2 That is, the method may aid to determine the probability for the structure to contain hydrocarbons.
The enthusiasm in Statoil has triggered the establishment of a new company dedicated to develop the method further and to service the demand for marine EM measurements in the future. Statoil Innovation and one of Statoil's major research partners within geophysical EM research in Norway, the Norwegian Geotechnical Institute, own the new company, Electromagnetic Geoservices (EMGS).
Here we present the method, first with an introduction covering the geophysical concepts in general and qualitative terms, and later a more theoretical presentation including calculations and numerical computation for simple models.
Introduction
The seabed logging (SBL) method is a remote resistivity sensing method which exploits the fact that hydrocarbons are electric insulators and consequently, the hydrocarbon filled reservoirs normally are more resistive than surrounding water-filled sediments (Fig. 1).
The actual resistivity profile of the subsurface is of course usually more complex than illustrated in the figure, and the resisitivity of the reservoirs will normally vary depending on the pore fluid composition (for example, the degree of hydrocarbon saturation).
Formulas derived from the classical Maxwell's equation show that the propagation speed and attenuation of a low frequency EM signal in a conductive environment are determined by the resistivity of the medium and the frequency of the EM signal. For a given frequency, a high resistive hydrocarbon filled reservoir will represent a major positive electric impedance contrast, giving rise to both reflections and refractions.
Like the two vector modes of seismic S waves (SH and SV) which respond differently in layered sediments, EM waves have the transverse electric (TE) and transverse magnetic (TM) modes. The TE and the TM modes respond differently to a resistive layer (i.e., a hydrocarbon-filled reservoir) and this is utilized in the processing and interpretation of SBL data.
Despite the high impedance contrast imposed by a resistive layer, the TM mode penetrates into the layer through a narrow aperture of angle of incidents, where the reflection coefficient is small. The TM mode is trapped inside the layer and propagates with higher speed and relatively low attenuation throughout the resistive layer, both as "normal modes" and "guided modes" (see later section). The energy leaks out on the way, as in seismic refraction.
The method has recently been tested with promising results in two hydrocarbon provinces, off West Africa in 20003 and in the Norwegian Sea in 2001, by using available scientific oceanographic marine CSEM equipment made for other applications: a deep-towed, high current electrical dipole EM source, typically 300A, 100 m long, supplied by Southampton Oceanography Centre (SOC)4 and multiple ocean bottom receiver stations supplied by Scripps Institute of Oceanography.5 Fig. 2 illustrates the principles. Typical source-receiver offsets are one to five times the expected reservoir depths.
One of the reasons for the low attenuation of the TM mode inside reservoirs is that the high resistivity (low conductivity) hinders the current to flow vertically between the top and base of the reservoir. At the reservoir boundaries, or at "holes" in the reservoir, the current again will flow as normal, and together with internal reflection from the edges, a new anomaly will appear on the surface as "edge effects." These effects may be used to determine reservoir boundaries.
The main factor that limits the use of EM techniques as a high-resolution structural mapping tool of marine sediments is the high attenuation of the higher frequencies as a function of distance. The key issue of the research has therefore been to see if valuable information still can be extracted from EM data even if the signal is low in frequency and magnitude.
The answer is yes in many cases, as the EM response on and off a deepsea structure will be significant and within the detection limits of available technology. It is the difference in response on and off a seismically mapped structure which would be used as a possible direct hydrocarbon indicator, but other options such as the difference between the TE and TM mode are also important.
The magnitude of the EM response depends on the resistivity of the reservoir, the burial depth, the reservoir size and continuity, and the electrical properties of the overburden. The response is largest for shallow reservoirs with a high resistivity contrast to the overburden. Reservoir thickness also influences the data but is considered less important (see later section).
With the current scientific data acquisition equipment, which is not tailored for the SBL application, one normally would guess that the maximum exploration depth is approximately 2,000 m below the sea surface. A simple modeling exercise is normally carried out prior to each specific survey to determine the expected maximum exploration depth. Deepsea is required in order to get low-noise recording conditions, as the seawater acts as a shield from external atmospheric (magnetotelluric) noise, and in order to avoid the interference from air-waves (waves generated by the source that refract and propagate in the air).
Evaluation, examples
In this section we will present some basic theory and give calculation and modeling examples to give the qualified reader an introduction to the most important parameters and topics of the SBL method.
As a basis for the later discussions, consider the simple model shown in Fig. 3:
- Overburden is 1,000 m thick with resistivity R = 1 Ωm and relative permitivity ε = 20
- A hydrocarbon reservoir, 50 m thick with resistivity R = 50 Vm and relative permitivity ε=6
We will present the analysis step by step, starting with an analytical homogenous model and ending with showing results from a numeric 3D modeling exercise.
Plane wave in a homogeneous model. The behavior of a sinusoidal plane EM wave with angular frequency v in a homogenous model with electric resistivity R, dielectric permitivity ε, and magnetic permeability μ0 , can be described by the complex wave number k:
null
(1)where b is the phase constant (determines the velocity) and a is the attenuation constant.
Figs. 4 and 5, respectively, show the phase velocity and the propagation attenuation in a model with resistivity R=1Ωm (overburden, Fig. 3) and in model with resistivity R = 50 Ωm (reservoir, Fig. 3) for the frequency band 0.1-5 Hz. Note the substantial difference in velocity and attenuation for the two different models. Note also the dispersion, i.e. velocity varies with frequency.
E-field produced by a horizontal dipole transmitter on the seabed. A plane wave and a homogeneous medium assumption is of course not valid for the SBL measurement situation in practice.
To approach the reality a bit more, consider a homogenous seabed model, like the one in Fig. 3 but without a hydrocarbon-filled reservoir. Consider an horizontal electric dipole transmitter placed on the sea floor. The complete radial electric field Eρ (the field along the antenna direction) in the seawater near the sea floor at a radial distance ρ (or z) can be written:6
null
(2) where I is the transmitter current, Lt is the transmitter antenna effective length, k is the complex wave number of the seabed, r is the distance to the transmitter antenna, and σsea is the electric conductivity of the sea water.
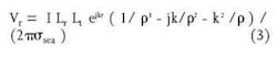
The signal magnitude (Vr ) received by a horizontal dipole receiver antenna at a radial distance r (from the transmitter) can then be written
null
(3)where Lr is the receiver antenna effective length.
Both the magnitude and the phase of the received signal, as functions of the distance ρ, are measurable quantities. They are mainly dependent on the seabed wave number k. Fig. 6 shows the curve of the magnitude of the received signal, as a function of distance, normalized by the signal received at 100 m for the frequency 1 Hz.
EM energy guided by a continuous high resistivity hydrocarbon reservoir. Refer to Fig. 3, where the horizontal direction (the length direction) is defined as z or r, the vertical direction (the depth direction) as y, and the x direction (the width direction) is normal to y-z plane.
When there exists a hydrocarbon reservoir, the received signal contains three parts: the received signal due to the direct wave, which is the same as the signal received at the homogeneous seabed case, the reflected wave, and the refracted wave. Since the reflected wave travels a longer distance in seabed-a high attenuation material, the reflected signal is always weaker than the direct wave. Hence it has less importance to our problem concerned. In the later discussion, we mainly consider the refracted wave.
At first we consider the problem of wave propagation inside the hydrocarbon layer. Since the conductivity of the seabed, which surrounds the hydrocarbon layer, is high, one can approximately consider the hydrocarbon layer as a rectangular wave-guide. In practice, of course, a hydrocarbon reservoir is a complex structure, not a box. So this is only for illustration purposes.
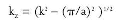
According to the theory of wave guide,7 the wave number in z direction kz can be written:
null
where m and n are integer numbers to define the different propagation modes and a and b are the wave guide width and height, respectively (Fig. 7).
For the main mode in consideration, m is 1 and n is 0, and
From the above equation one can derive the following:
kz is always smaller than k. Thus the phase velocity in the wave-guide of hydrocarbon layer is always faster than the phase velocity of the wave traveling in an infinite hydrocarbon material without boundary.
When the width 'a' is much bigger than the wavelength in hydrocarbon, then kz approaches k.
When k is smaller than π/a, then kz becomes imaginary. That means the rectangular wave-guide works as a high-pass filter and has a cutoff frequency.7 However the wave is not completely cut off. The wave-guide introduces a propagation attenuation when the frequency is lower than the cutoff frequency.
kz is not related to b: the height of the hydrocarbon layer. That means the propagation of the refracted wave inside the hydrocarbon reservoir is not much affected by the height of the reservoir. This may also mean that the method can be used to detect thin hydrocarbon reservoirs.
In Fig. 7, the EM field of the main mode of a rectangular guide is shown.
From Fig. 4, one can see the strong contrast between the velocities in the seabed and the hydrocarbon layer. Hence the injected wave (Ray 1 in Fig. 3) for generating the refracted wave is almost normal to the hydrocarbon layer, in order to generate wave propagating inside a thin hydrocarbon layer. Considering this fact, the received refracted signal Vrefracted, can be written:
Vrefracted = A ei2kd eikzρ
The curve of the magnitude of the received refraction wave, normalized by the refracted wave at 100 m, is also shown in Fig. 6 (line with symbol '+').
From Fig. 6, one can see that the magnitude curve of the received direct wave is quite different from the refracted waves. The magnitude of the received direct wave decays much more rapidly with increasing the detection distance, than the refracted wave. Hence this phenomenon can be used as an "indicator" of the existence of the hydrocarbon layer.
We should note that the direct wave and the refracted wave curves shown in Fig. 6 are all normalized with their own value at r =100 m.
So far we haven't touched the problem about the magnitude of the received refracted wave, comparing with the direct wave, although we have good reason to believe that the refracted wave will be bigger than the direct wave, when the detection distance r is sufficiently large, since the refracted wave only travels 2d distance in seabed, and travels the rest distance in a resistive hydrocarbon layer. The numerical simulations discussed in the next section show that the refracted wave becomes bigger than the direct wave when the detection distance becomes about 2.5 d.
Example of 3D-FDTD EM modeling, studying the effect of reservoir width. A 3D finite difference time domain (FDTD) software for EM-wave propagation has been developed at the Norwegian Geotechnical Institute and used for calculating the following layered model, which is isotropic with horizontal layers (Fig. 8):
- Layer 1: Seawater, thickness 540 m, resistivity 0.3 ohm-m.
- Layer 2: Seabed ("overburden"), thickness 1,000 m, resistivity 1.5 ohm-m.
- Layer 3: Reservoir, thickness 120 m, resistivity 1.5 ohm-m when water filled and 50 ohm-m when filled with hydrocarbons.
- Layer 4: As layer 2.
The source is a 10 Hz Ricker signal exciting the Ez or Eρ component (E field along the line).
The model dimension was 72 x 72 x 36 grid cells. The grid was regular with a size of 60 m, i.e. the reservoir is only one grid cell thick. Time step was 4 microseconds, and a total of 200,000 time steps were run.
The receivers, or observation points, are located along a horizontal line, one grid cell below the sea floor, 22 all together. The receiver separation is 360 m (6 grid cells) and the first receiver is located at the source. The model contains a 5 cell wide PML (perfect matching layer).
The reservoir length is 4.32 km and covers the whole length of the model. Four different reservoir widths are tested: 4.32 km, 3 km, 2 km, and 1 km.
Figs. 9 and 10 show the results, the Ez component of the wave field at the mentioned receiver locations.
The time histories are recorded from 0 to about 500 milliseconds. The black traces are results from when the reservoir "is filled" with hydrocarbons (resistivity = 50 ohm-m) and red traces when it is filled with water (1.5 ohm-m). The traces are normalized.
As we can see from the figures, the black traces start to have higher magnitude than the red traces when the distance is bigger than 2,400 m. This verifies that the refracted wave will be bigger than the direct wave, when the detection distance r becomes large.
For the 4.32 km wide reservoir, the far-offset signals are more than 2.5 times higher for the hydrocarbon case than the case with no hydrocarbon layer.
Fig. 9, upper, shows the maximum signal amplitude recorded at one location 3.1 km offset from the source for cases where the hydrocarbon filled reservoir width varies.
This plot demonstrates the 3D effects. The curve flattens out at about 3 km. Even when the reservoir width is only 2 km, most of the hydrocarbon response has developed and is about two times higher than the direct wave background (no hydrocarbon layer).
The modeling shows that the refracted EM waves' Ez component in a simple model with homogenous overburden is influenced, but does not seem to be much influenced by the variation in reservoir width if the width is 2 to 3 km when the reservoir depth is about 1 km.
More development
A promising novel application of CSEM, called Seabed Logging (SBL), for deepsea exploration and prospect evaluation, has been presented.
Even when restricted to available technology not tailored for this purpose, SBL can aid exploration and prospect evaluation in a number of today's deepsea areas.
Due to the potential of saving costs by reducing the number of dry exploration wells and through promotion of early cash flow earned by an early discovery, the method would naturally get business focus in the future. With the development history of the seismic industry in mind, one can easily imagine the development potential of the SBL technique. F
References
- Eidesmo, T., Ellingsrud, S., Kong, F.N., Westerdahl, H., and Johansen, S., "Method and apparatus for determining the nature of subterranean reservoirs," Patent application number WO 00/13046, 2000, filed August 1998.
- Ellingsrud, S., Eidesmo, T., Kong, F.N., and Weterdahl, H., "Reservoir identification using refracted wave," Patent application number WO 01/57555, 2001, filed February 2000.
- Eidesmo, T., Ellingsrud, S., MacGregor, L.M., Constable, S., Sinha, M.C., Westerdahl, H., and Kong, F.N., "Remote detection of hydrocarbon filled layers using marine controlled source electromagnetic sounding," paper submitted to EAGE 64th Conference & Exhibition, Florence, Italy, May 27-30, 2002.
- Sinha, M.C., Patel, P.O., Unsworth, M.J., Owen, T.R.E., and MacCormac, M.R.U., "An active source electromagnetic system for marine use," Marine Geophys. Res., Vol. 12, 1990.
- Chave, A.D., Constable, S.C., and Edwards, N., "Electrical exploration methods for the seafloor," in Nabighian, M., ed., "Electromagnetic Methods in Applied Geophysics," Vol. 2, SEG, Tulsa, Okla., 1991, pp. 931-966.
- King, R.W.P., "Antenna in material media near boundaries with application to communication and geophysical exploration, Part 1: The bare metal dipole and Part 2: The terminated insulated antenna," IEEE Trans., Antennas and Propagat., Vol. Ap-34, No. 4, April 1986.
- Kong, J.A., "Electromagnetic Wave Theory," John Wiley & Sons, 1986
The authors
F.N. Kong ([email protected]) has been working at Norwegian Geotechnical Institute since 1989. His research interests include wave propagation, ground penetrating radar, antenna design, etc. He received a BSc in radio engineering from Xidian University and PhD in electronics in Cambridge University. In 1986-88 he was a post-doctoral fellow of the Royal Norwegian Council for Scientific and Technological Research.
Harald Westerdahl ([email protected]) worked with Norsk Hydro from 1984 to 1988 with data acquisition and processing of well seismic data. Since 1988 he has worked at the Norwegian Geotechnical Institute, mainly with special seismic and georadar/EM R&D projects for the petroleum industry. He has an MSc in petroleum geology and geophysics from the University of Trondheim.
Svein Ellingsrud ([email protected]) worked at Sintef/Allforsk in Trondheim as a research scientist in 1990-92 and at Statoil R&D Centre within the area of petrophysics/geophysics in 1992-2002. He is vice president of Electromagnetic Geoservices AS. He has an MSc and PhD in physics from the University of Trondheim.
Terje Eidesmo ([email protected]) started as a petrophysicist at Statoil's research center in 1991. He was project manager for several research projects and became a director in 2000-02. He is a petrophysics professor at NTNU. Now president of EMGS AS, he has a PhD in physics from the University of Trondheim.
Stale Emil Johansen ([email protected]) has 15 years' experience in the oil industry. He started his career in Esso Norge in 1985 and continued in Statoil. He has worked within exploration and research and while employed with EMGS is also a part time professor at University of Science and Technology. He has a PhD in geophysics from the University of Oslo.




















